Упр.177 ГДЗ Алимов 10-11 класс (Алгебра)
Решение #1
Решение #2

Рассмотрим вариант решения задания из учебника Алимов, Колягин, Ткачёва 10 класс, Просвещение:
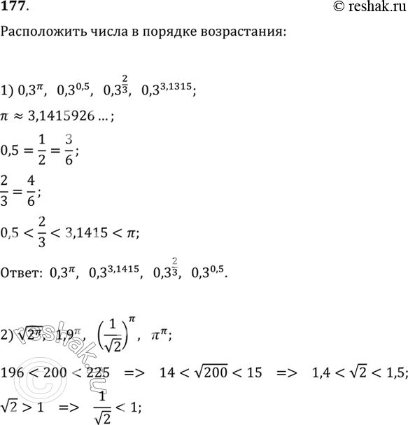
177. Расположить числа в порядке возрастания:
1) 0,3^пи, 0,3^0,5, 0,3^2/3,0,3^3,1415;
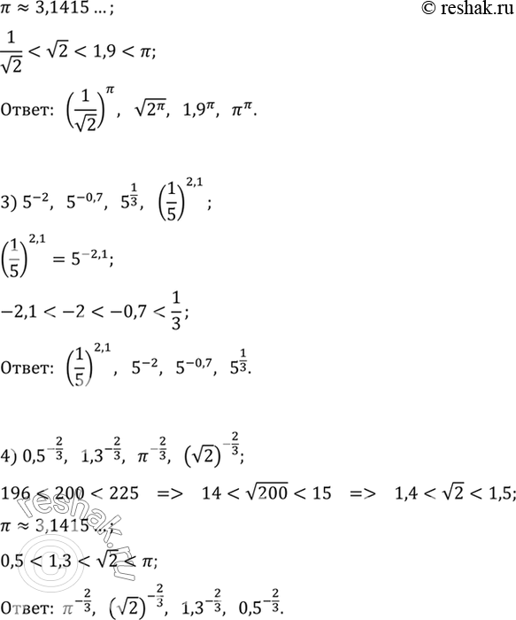
2) корень 2пи, 1,9пи, (1/корень 2)пи, пи^пи;
3) 5^-2, 5^-0,7, 5^1/3, (1/5)2,1;
4) 0,5^-2/3, 1,3^-2/3, пи^-2/3, (корень 2)^-2/3.
*размещая тексты в комментариях ниже, вы автоматически соглашаетесь с пользовательским соглашением