Упр.170 ГДЗ Алимов 10-11 класс (Алгебра)
Решение #1
Решение #2

Рассмотрим вариант решения задания из учебника Алимов, Колягин, Ткачёва 10 класс, Просвещение:
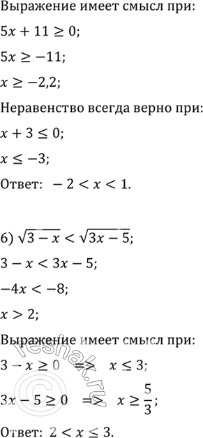
170. 1) корень (x+2) > корень (4-x);
2) корень (3+2x) >= корень (x+1);
3) корень (2x-5) < корень (5x+4);
4) корень (3x-2) > x-2;
5) корень (5x+11) > x+3;
6) корень (3-x) < корень (3x-5).
*размещая тексты в комментариях ниже, вы автоматически соглашаетесь с пользовательским соглашением