Упр.168 ГДЗ Алимов 10-11 класс (Алгебра)
Решение #1
Решение #2

Рассмотрим вариант решения задания из учебника Алимов, Колягин, Ткачёва 10 класс, Просвещение:
168. 1) корень (x2-1)>1;
2) корень (1-x2)<1;
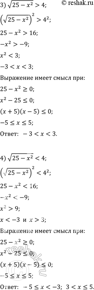
3) корень (25-x2)>4;
4) корень (25-x2)<4.
*размещая тексты в комментариях ниже, вы автоматически соглашаетесь с пользовательским соглашением