Упр.344 ГДЗ Алимов 10-11 класс (Алгебра)
Решение #1
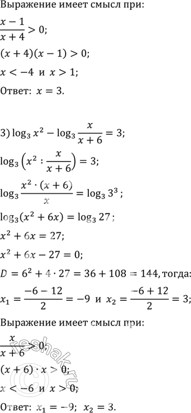
Решение #2

Рассмотрим вариант решения задания из учебника Алимов, Колягин, Ткачёва 10 класс, Просвещение:
344 1) log4((x+2)(x+3))+log4(x-2)/(x+3) = 2;
1) log2((x-1)/(x+4))+log2((x-1)(x+3)) = 2;
1) log3(x2)-log3(x/(x+6)) = 3;
1) log2((x+4)/x)+log2(x2) = 2.
*размещая тексты в комментариях ниже, вы автоматически соглашаетесь с пользовательским соглашением