Упр.1423 ГДЗ Алимов 10-11 класс (Алгебра)
Решение #1
Решение #2

Рассмотрим вариант решения задания из учебника Алимов, Колягин, Ткачёва 11 класс, Просвещение:
Найти действительные (1423—1425).
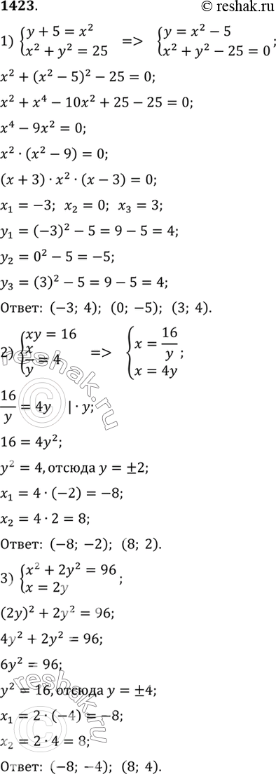
1423 1)система
y+5=x2,
x2+y2=23;
2) система xy=16,
x/y=4;
3) система
x2+2y2=96,
x=2y.
*размещая тексты в комментариях ниже, вы автоматически соглашаетесь с пользовательским соглашением