Упр.1415 ГДЗ Алимов 10-11 класс (Алгебра)
Решение #1
Решение #2

Рассмотрим вариант решения задания из учебника Алимов, Колягин, Ткачёва 11 класс, Просвещение:
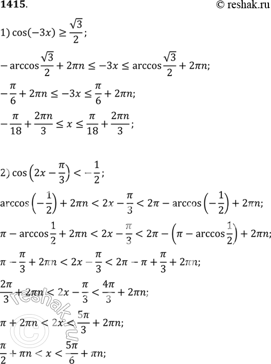
1415 1) сos(-3x)>=корень 3/2;
2) cos(2x-пи/3)<-1/2.
*размещая тексты в комментариях ниже, вы автоматически соглашаетесь с пользовательским соглашением